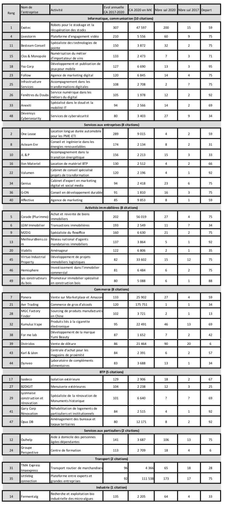
44 parmi les 50 premières avaient moins de 20 salariés en 2017, soit au total 200 salariés en 2017, mais 1 216 en 2020. C’est dire l’importance des petites entreprises, phénomène normal puisqu’il serait particulièrement difficile à de grandes entreprises d’afficher de tels scores d’évolution.
En termes d’activité, l’informatique communication regroupe 10 entreprises (alors qu’elles sont peu nombreuses dans le parc d’entreprises), les services aux entreprises 8 entreprises, tout comme les activités immobilières et le commerce (e-commerce surtout), le BTP 5 entreprises, les services aux particuliers 2 entreprises, tout comme les transports et l’industrie une entreprise. Là encore, on y retrouve les activités actuellement en pointe.
En termes de localisation, si l’Ile-de-France domine (17 sont en Ile-de-France soit 39%), 16 autres départements sont aussi présents : 4 dans le Nord, 4 dans l’Hérault, 3 dans le Rhône, 3 en Gironde, puis 2 dans les Alpes Maritimes et la Gironde et une dans 10 autres départements, y compris des départements inattendus comme les Vosges, l’Eure et Loir, le Doubs, les autres étant le fait de département avec une ville métropole.
La prépondérance francilienne, est encore le fait si nous observons les 500 entreprises de croissance avec 45% des entreprises (223 entreprises issues de la région dont 115 dans le 75 et 48 dans l’ouest parisien).
Il en est de même du nombre de créations d’emplois prévisionnelles pour 2022 ; le poids de la région capitale est plus important avec 6 594 emplois sur un total de 10 330, représentant près des 2/3. Paris et les Hauts de Seine représentent à eux deux 90% des emplois prévisionnels de la région.

Pour en savoir davantage : Le palmarès 2022 des 500 Champions français de la croissance | Les Echos, Statista, 11 02 2022
Méthodologie : les Échos Week-End publie la 6éme édition du classement des 500 entreprises à la croissance la plus forte. Avec son partenaire Statista, 10 000 entreprises ont été approchées par mail ou courrier pour dévoiler leurs résultats en chiffre d’affaires. Pour figurer dans le palmarès, elles doivent répondre à 3 critères : un chiffre d’affaires d’au moins 100 000€ en 2017 et 1,5 million en 2020, être indépendante (ne pas être filiale), et avoir leur siège social en France.
Mais le classement ne peut être exhaustif puisque les entreprises sollicitées pouvaient ne pas répondre.